Sequential and batch data assimilation approaches to cope with groundwater model error: An empirical evaluation
Published in Environmental Modelling and Software, 2022
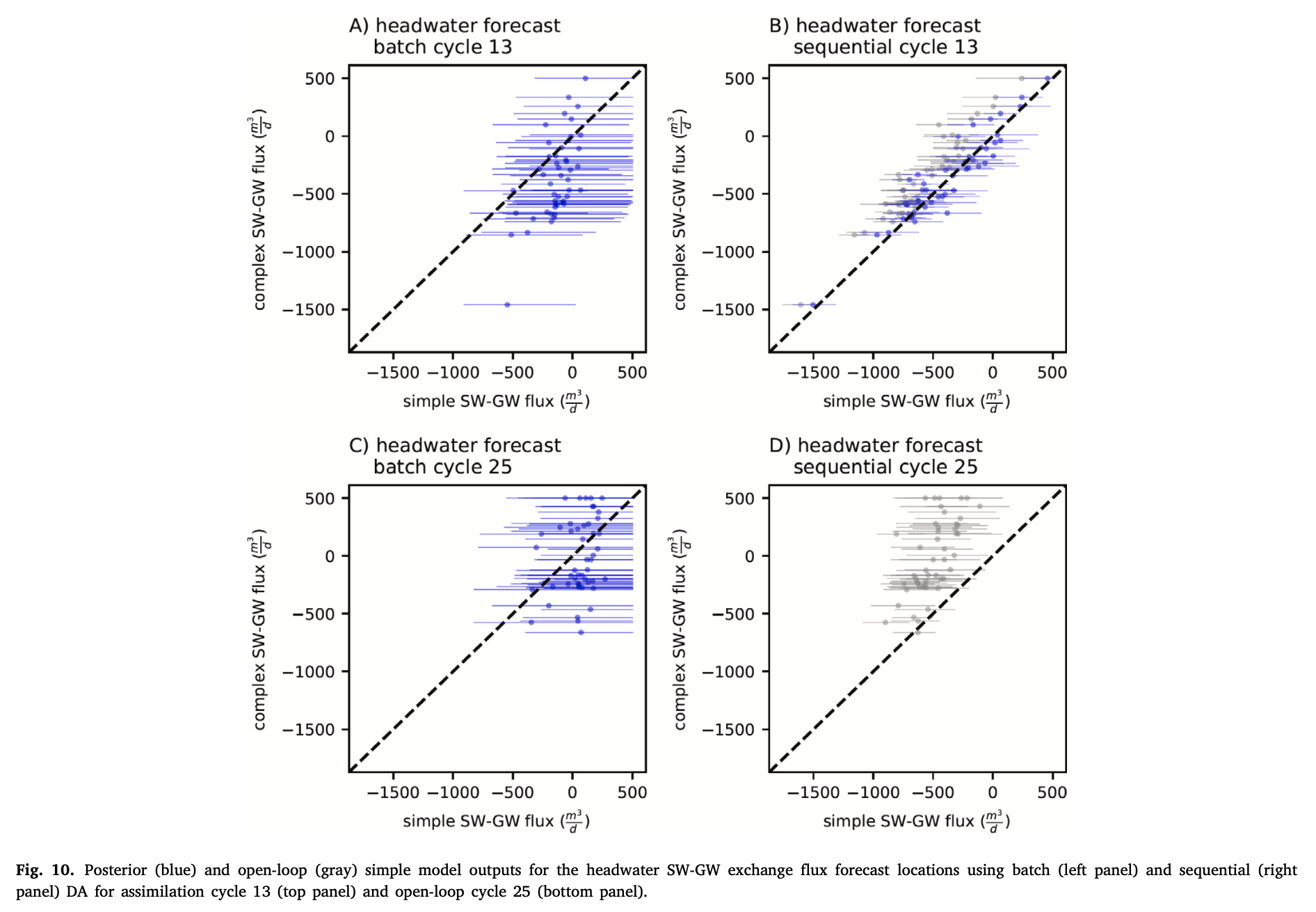
Groundwater model data assimilation (DA) aims to reduce uncertainty in simulated outcomes of interest to resource management while minimizing the potential for predictive bias. Sequential DA, which can estimate model states along with properties and stresses dynamically in time, offers a potentially powerful alternative to batch DA (i.e., history matching) for reducing bias in decision-relevant predictions in the presence of incorrect model structure and/or processes. This study evaluates the ability of batch and sequential DA approaches to history match and forecast simulated quantities in the presence of model error using a novel ensemble- based paired complex–simple approach that enables the incorporation of stochastic uncertainty and a statistical evaluation of predictive bias. Our findings have implications for groundwater decision support modeling as they underscore the pitfalls of fixing parameters and forcing variables a priori and present a proof of concept for using adjustable model states to cope with model error.

Recommended citation: Markovich, K. H., White, J.T., and Knowling, M.J. (2022). Sequential and batch data assimilation approaches to cope with groundwater model error: An empirical evaluation. Environmental Modelling and Software, 156. https://doi.org/10.1016/j.envsoft.2022.105498.
Download Paper | Download Bibtex
